[Python-Institute] PCAP - Certified Associate Python Prog Exam Dumps & Study Guide
The Certified Associate in Python Programming (PCAP) is the premier certification for anyone looking to demonstrate their mastery of the Python programming language. As Python continues to dominate the software development, data science, and automation industries, the ability to write robust, scalable, and efficient Python code has become a fundamental skill for all IT professionals. Managed by the Python Institute, the PCAP validates your associate-level knowledge of Python syntax, data types, control flow, and object-oriented programming (OOP). It is an essential milestone for any aspiring software developer, data scientist, or automation engineer.
Overview of the Exam
The PCAP exam is a multiple-choice assessment that covers a broad range of Python programming topics. It is a 65-minute exam consisting of 40 questions. The exam is designed to test your understanding of core Python concepts and your ability to apply them to solve programming problems. From basic syntax and data structures to modules, packages, and OOP, the PCAP ensures that you have the skills necessary to write high-quality Python code. Achieving the PCAP certification proves that you have the solid foundation necessary to progress to more advanced Python certifications like the PCPP and specialized roles.
Target Audience
The PCAP is intended for anyone who wants to deepen their knowledge of Python programming. It is ideal for individuals in roles such as:
1. Aspiring Software Developers
2. Data Scientists and Analysts
3. Automation Engineers
4. IT Managers and Technical Leads
5. Students and Recent Graduates
The PCAP is for those who want to establish a strong technical foundation and prove their commitment to the Python programming field.
Key Topics Covered
The PCAP exam is organized into several main domains:
1. Control and Evaluations (25%): Understanding Python's control flow statements, including loops and conditional execution.
2. Data Aggregates (25%): Managing and manipulating Python's built-in data structures, including lists, tuples, and dictionaries.
3. Functions and Modules (25%): Designing and building reusable code using functions, modules, and packages.
4. Classes and Objects (25%): Understanding and applying object-oriented programming principles in Python.
Benefits of Getting Certified
Earning the PCAP certification provides several significant benefits. First, it offers industry recognition of your specialized expertise in Python programming. As the world’s most popular programming language, Python skills are in high demand across the globe. Second, it can lead to increased career opportunities and higher salary potential in a variety of roles. Third, it demonstrates your commitment to professional excellence and your dedication to staying current with the latest programming practices. By holding this certification, you join a global community of Python professionals and gain the confidence to pursue more advanced roles and certifications.
Why Choose NotJustExam.com for Your PCAP Prep?
The PCAP exam covers a broad spectrum of topics, and NotJustExam.com is the best resource to help you master this material. Our platform offers an extensive bank of practice questions that are designed to mirror the actual exam’s format and difficulty.
What makes NotJustExam.com stand out is our focus on interactive logic and the accuracy of our explanations. We don’t just provide a list of questions; we provide a high-quality learning experience. Every question in our bank includes an in-depth, accurate explanation that helps you understand the technical reasoning behind the correct programming solution. This ensures that you are truly learning the material and building the confidence needed to succeed on the exam. Our content is regularly updated to reflect the latest Python features and exam updates. With NotJustExam.com, you can approach your PCAP exam with the assurance that comes from thorough, high-quality preparation. Start your Python journey with us today!
Free [Python-Institute] PCAP - Certified Associate Python Prog Practice Questions Preview
-
Question 1
What will be the value of the i variable when the while e loop finishes its execution?

- A. 1
- B. 0
- C. 2
- D. the variable becomes unavailable
Correct Answer:
A
Explanation:
The AI agrees with the suggested answer.
The correct answer is A. 1.
Reasoning:
The code initializes `i` to 0. The `while` loop condition `i != 0` is immediately false. Therefore, the `while` loop's body is skipped, and the `else` block is executed. The `else` block increments `i` by 1, making `i` equal to 1. The program then finishes, and the final value of `i` is 1.
Why other options are incorrect:
- B. 0: This is incorrect because the `else` block increments `i` to 1 after the `while` loop is skipped.
- C. 2: This is incorrect. The loop never executes, so i is only incremented once in the else block.
- D. the variable becomes unavailable: This is incorrect. The variable `i` is still in scope and its value is modified in the else block.
-
Question 2
And operator able to perform bitwise shifts is coded as (Choose two.)
Correct Answer:
CD
Explanation:
The suggested answer is correct. The AI agrees with the suggested answer of C and D.
Reasoning: The question asks for operators that perform bitwise shifts. C (<<) and D (>>) represent the left and right bitwise shift operators in many programming languages, including Python and C/C++. The left shift operator (<<) shifts the bits of a number to the left by a specified number of positions, effectively multiplying the number by 2 for each position shifted. The right shift operator (>>) shifts the bits to the right, effectively dividing by 2 for each position shifted.
Why other options are incorrect:
- A (--) is typically used as a decrement operator in languages like C/C++, not for bitwise operations.
- B (++) is an increment operator, similarly not for bitwise operations.
Therefore, options C and D are the correct answers because they represent bitwise left and right shift operators.
- Left shift (<<): Shifts bits to the left, multiplying by powers of 2.
- Right shift (>>): Shifts bits to the right, dividing by powers of 2.
-
Question 3
What will the value of the i variable be when the following loop finishes its execution?

- A. 10
- B. the variable becomes unavailable
- C. 11
- D. 9
Correct Answer:
D
Explanation:
The suggested answer is correct.
The loop iterates as long as `i` is less than 10. The values of `i` will be 0, 1, 2, 3, 4, 5, 6, 7, 8, and 9. After `i` becomes 9, the condition `i < 10` is still true, so the loop executes one more time. Inside the loop, the `pass` statement does nothing, so `i` is incremented to 10. Then, the loop condition `i < 10` is checked again, and since 10 is not less than 10, the loop terminates. Therefore, the final value of `i` after the loop finishes is 9.
- Reasoning for Correct Answer:
- The for loop iterates from i = 0 to i = 9.
- The pass statement does nothing, so the value of i is unchanged within each loop iteration, except for the increment `i += 1` in the loop's header.
- After the loop completes its final iteration (when i = 9), i is incremented by 1 at the end of the loop, meaning i then becomes 10. The loop condition becomes false at the *next* check, but the value of i remains at 9 until that re-evaluation.
- Thus, when the loop finishes, the final value of i is 9.
- Reasons for Incorrect Answers:
- A (10): While `i` becomes 10 *during* the final check before exiting the loop, the last *used* value inside the loop was 9. The loop terminates when `i` is no longer less than 10.
- B (the variable becomes unavailable): The variable `i` is defined within the scope of the loop, but it is still accessible after the loop finishes in many programming languages. If the variable `i` were not defined, then a `NameError` would occur. However, this example increments a variable `i` with an initial declaration, therefore, it's available.
- C (11): `i` never reaches 11. The loop terminates when `i` is no longer less than 10.
-
Question 4
The following expression -
is:
- A. equal to 1
- B. invalid
- C. equal to 2
- D. equal to -1
Correct Answer:
D
Explanation:
The suggested answer (D) is correct.
Reasoning: The expression 1 + (-2) is a simple arithmetic operation. Adding a negative number is the same as subtracting its positive counterpart. Therefore, 1 + (-2) is equivalent to 1 - 2, which equals -1.
Why other options are incorrect:
- Option A (equal to 1): 1 + (-2) is not equal to 1.
- Option B (invalid): The expression is a valid arithmetic operation in Python and many other programming languages.
- Option C (equal to 2): 1 + (-2) is not equal to 2.
Citations:
- Python Operators, https://www.w3schools.com/python/python_operators.asp
- Basic arithmetic operations in Python, https://www.tutorialspoint.com/python/python_basic_operators.htm
-
Question 5
A compiler is a program designed to (Choose two.)
- A. rearrange the source code to make it clearer
- B. check the source code in order to see of it's correct
- C. execute the source code
- D. translate the source code into machine code
Correct Answer:
BD
Explanation:
The AI agrees with the suggested answer of B and D.
Reasoning:
A compiler's primary functions are to analyze source code for correctness (syntax, semantics) and to translate it into machine code that a computer can execute. Options B and D accurately reflect these core responsibilities.
Why other options are incorrect:
- Option A is incorrect because while some IDEs and tools can reformat code, this is not the primary function of a compiler.
- Option C is incorrect because executing the source code is the role of an interpreter or the compiled program itself, not the compiler.
- Compiler, https://en.wikipedia.org/wiki/Compiler
-
Question 6
What is the output of the following piece of code?

- A. ant' bat' camel
- B. antג€batג€ camel
- C. antbatcamel
- D. print (a, b, c, sep= ' ג€ ')
Correct Answer:
B
Explanation:
The suggested answer is B. AI confirms that the correct answer is B: ant"bat"camel.
Reason: The code uses the `print()` function with the `sep` argument set to a double quote (`"`). This means that the values of variables `a`, `b`, and `c` will be printed to the console, separated by a double quote.
Why other options are incorrect:
A: `ant' bat' camel` - This would be the output if the separator was a single quote followed by a space followed by a single quote.
C: `antbatcamel` - This would be the output if no separator was specified, resulting in the arguments being concatenated.
D: `print (a, b, c, sep= ' " ')` - This is not the output; it's how the `print` function is invoked.
- print() Function in Python, https://www.geeksforgeeks.org/python-print-function/
- Python sep Parameter in print(), https://www.w3schools.com/python/ref_func_print.asp
-
Question 7
What is the expected output of the following snippet?

- A. the code is erroneous
- B. 3
- C. 7
- D. 15
Correct Answer:
A
Explanation:
The suggested answer is correct.
The code is indeed erroneous due to a syntax error. In Python, the equality operator is "==" not "=". The single equal sign "=" is used for assignment. The conditional statement `if i % 2 = 0:` attempts to assign the value 0 to `i % 2` within the condition, which is not allowed and results in a `SyntaxError`.
Therefore, options B, C, and D are incorrect because the code will not execute to produce a numerical output due to the syntax error. The Python interpreter will halt execution upon encountering this error.
- Incorrect Answer Reasoning: Options B, C, and D are incorrect because the code will not execute due to the syntax error.
-
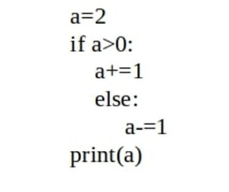
Question 8
How many lines does the following snippet output?

- A. three
- B. one
- C. two
- D. four
Correct Answer:
B
Explanation:
The AI assistant agrees with the suggested answer, which is B (one).
The reason for this is that the provided Python code snippet uses a `for` loop to iterate three times (from 0 to 2). Inside the loop, it prints the character "*" using `print("*", end='')`. The `end=''` argument in the `print()` function specifies that no newline character should be added after each asterisk. Therefore, all asterisks are printed on the same line.
After the loop finishes, `print()` is called without any arguments. This call prints a newline character, moving the cursor to the next line. However, since all the asterisks were printed on the same line *before* this newline, the final output consists of a single line of asterisks.
Thus, the code will output one line containing three asterisks.
The other options are incorrect because:
- A (three): The code prints three asterisks, but all on the same line due to `end=''`.
- C (two): The code only generates one line of asterisks and then a newline.
- D (four): The loop only iterates three times.
The code's behavior is determined by the `end=''` argument in the `print()` function, which suppresses the newline character after each printed asterisk. Without this argument, each asterisk would be printed on a new line.
Citation:
- Python `print()` function, https://docs.python.org/3/library/functions.html#print
-
Question 9
Which of the following literals reflect the value given as 34.23? (Choose two.)
- A. .3423e2
- B. 3423e-2
- C. .3423e-2
- D. 3423e2
Correct Answer:
AB
Explanation:
The suggested answer of A and B is correct.
The AI agrees with the suggested answer.
The reason for this choice is that both options A (.3423e2) and B (3423e-2) correctly represent the number 34.23 using scientific notation.
.3423e2 is equivalent to .3423 * 10^2 = 34.23.
3423e-2 is equivalent to 3423 * 10^-2 = 34.23.
Options C (.3423e-2) and D (3423e2) are incorrect because they do not equal 34.23.
.3423e-2 is equivalent to .3423 * 10^-2 = 0.003423
3423e2 is equivalent to 3423 * 10^2 = 342300
- Citation: Python Scientific Notation, https://www.freecodecamp.org/news/scientific-notation-in-python-examples/
-
Question 10
What is the expected output of the following snippet?

- A. 3
- B. 1
- C. 2
- D. the code is erroneous
Correct Answer:
D
Explanation:
The suggested answer is D ("the code is erroneous"), and I agree with this assessment.
Reasoning:
The primary issue lies in the incorrect indentation of the `else` statement. In Python, indentation is crucial for defining code blocks. The `else` statement should be aligned with the `if` statement it corresponds to. In the given code snippet, the `else` is indented to the same level as the `print(1)` statement within the `if` block. This misplacement makes the `else` block not associated with the `if` condition as intended, thus raising an `IndentationError`. Python interpreters rely on proper indentation to determine the structure of the code.
Why other answers are incorrect:
- Options A, B, and C represent numerical outputs (3, 1, and 2 respectively). These outputs could only be achieved if the code were syntactically correct and the conditional logic were executed successfully. However, due to the indentation error, the code will not execute to the point of producing any of these numerical outputs.
Citations:
- Python Indentation, https://www.w3schools.com/python/python_indentation.asp
- Python Errors and Exceptions, https://docs.python.org/3/tutorial/errors.html